Skip to main content
Search
Search This Blog
The Yy Blog
Share
Get link
Facebook
X
Pinterest
Email
Other Apps
Labels
Mgt Stories
January 24, 2017
DERET UKUR (GEOMETRI)
Deret ukur geometri
from
yy rahmat
Comments
Popular Posts
June 09, 2018
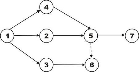
MANAJEMEN PROYEK DENGAN METODE JALUR KRITIS (PERT/CPM)
June 15, 2014
LANGKAH SEM-PLS (Partial Least Square)
Comments
Post a Comment